Номер 3.203, страница 198 - гдз по алгебре 9 класс учебник Арефьева, Пирютко

Алгебра, 9 класс Учебник, авторы: Арефьева Ирина Глебовна, Пирютко Ольга Николаевна, издательство Народная асвета, Минск, 2019, голубого цвета

Авторы: Арефьева И. Г., Пирютко О. Н.

Тип: Учебник

Издательство: Народная асвета

Год издания: 2019 - 2026

Цвет обложки: голубой, синий с графиком

ISBN: 978-985-03-3077-2

Допущено Министерством образования Республики Беларусь

Популярные ГДЗ в 9 классе

Глава 3. Дробно-рациональные уравнения и неравенства. Параграф 13. Дробно-рациональные неравенства. Метод интервалов для решения рациональных неравенств - номер 3.203, страница 198.

№3.203 (с. 198)
Условие. №3.203 (с. 198)
скриншот условия
Алгебра, 9 класс Учебник, авторы: Арефьева Ирина Глебовна, Пирютко Ольга Николаевна, издательство Народная асвета, Минск, 2019, голубого цвета, страница 198, номер 3.203, Условие

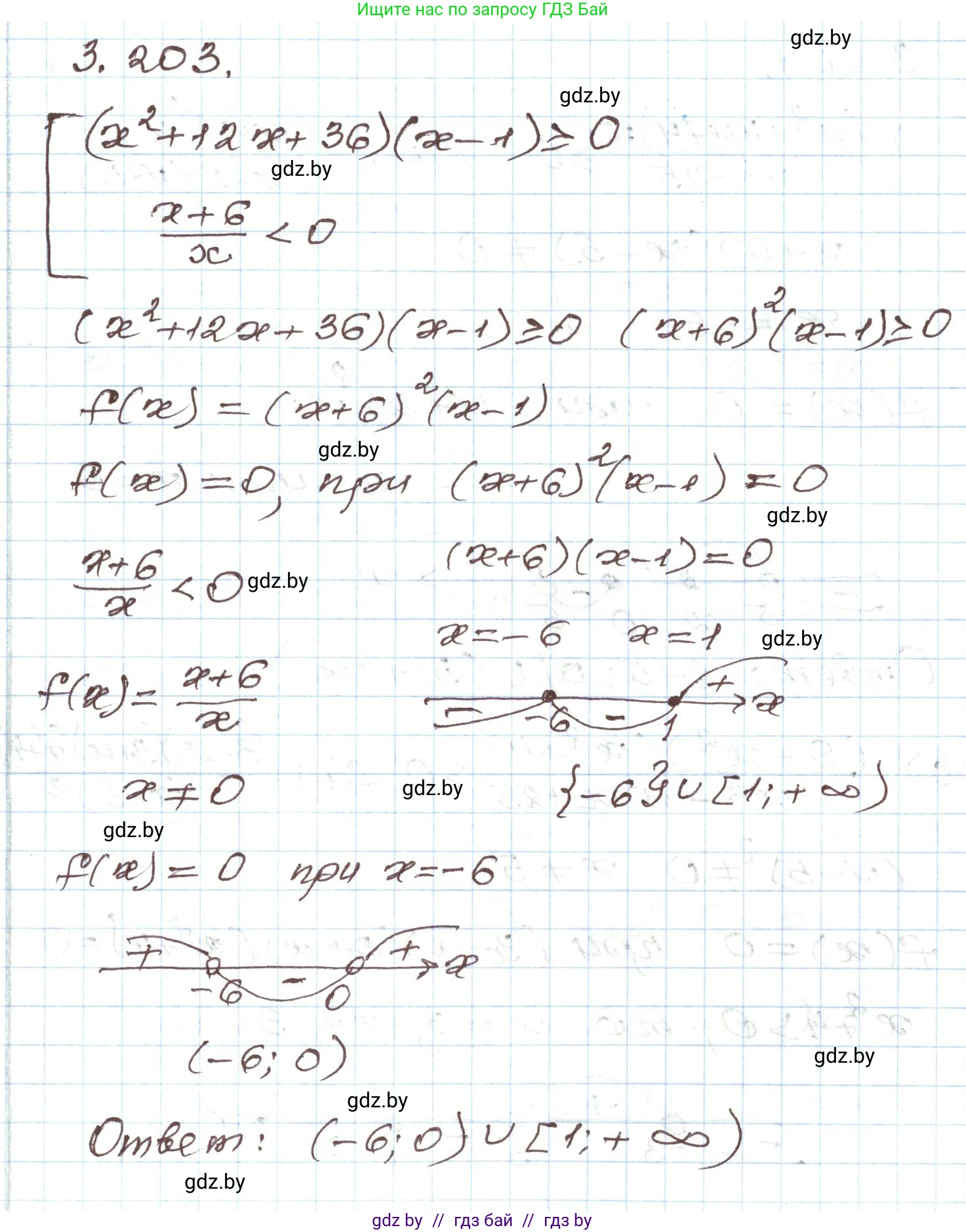
3.203. Решите совокупность неравенств

$\begin{cases} (x^2 + 12x + 36)(x - 1) \ge 0, \\ \frac{x + 6}{x} < 0. \end{cases}$

Решение. №3.203 (с. 198)
Алгебра, 9 класс Учебник, авторы: Арефьева Ирина Глебовна, Пирютко Ольга Николаевна, издательство Народная асвета, Минск, 2019, голубого цвета, страница 198, номер 3.203, Решение
Решение 2. №3.203 (с. 198)

Решим каждое неравенство из совокупности, а затем объединим их решения.

$(x^2 + 12x + 36)(x - 1) \geq 0$

Преобразуем левую часть неравенства, заметив, что $x^2 + 12x + 36$ — это полный квадрат суммы $(x+6)^2$.

Неравенство приобретает вид: $(x+6)^2(x-1) \geq 0$.

Множитель $(x+6)^2$ всегда неотрицателен (т.е. $\geq 0$). Рассмотрим два возможных случая:

  1. Если $x+6 = 0$, то есть $x = -6$. При подстановке этого значения в неравенство получаем $0 \cdot (-7) \geq 0$, что равно $0 \geq 0$. Это верно, следовательно, $x=-6$ является решением.
  2. Если $x+6 \neq 0$, то множитель $(x+6)^2$ строго положителен. Чтобы все произведение было неотрицательным, необходимо, чтобы второй множитель был также неотрицательным: $x-1 \geq 0$. Отсюда $x \geq 1$.

Объединяя полученные результаты, находим решение первого неравенства.

Ответ: $x \in \{-6\} \cup [1, +\infty)$.

$\frac{x+6}{x} < 0$

Для решения этого дробно-рационального неравенства используем метод интервалов. Находим нули числителя и знаменателя:

Нуль числителя: $x+6=0 \Rightarrow x=-6$.

Нуль знаменателя: $x=0$.

Наносим эти точки на числовую прямую. Так как неравенство строгое, а знаменатель не может быть равен нулю, обе точки ($x=-6$ и $x=0$) являются выколотыми. Они разбивают прямую на три интервала. Определим знак дроби на каждом из них:

  • Интервал $(-\infty, -6)$: при $x=-7$ имеем $\frac{-7+6}{-7} = \frac{-1}{-7} > 0$.
  • Интервал $(-6, 0)$: при $x=-1$ имеем $\frac{-1+6}{-1} = -5 < 0$.
  • Интервал $(0, +\infty)$: при $x=1$ имеем $\frac{1+6}{1} = 7 > 0$.

Решением является интервал, где значение дроби отрицательно.

Ответ: $x \in (-6, 0)$.

Итоговое решение совокупности — это объединение множеств решений обоих неравенств:

$(\{-6\} \cup [1, +\infty)) \cup (-6, 0)$

Объединение изолированной точки $x=-6$ и интервала $(-6, 0)$ дает полуинтервал $[-6, 0)$. Таким образом, окончательное решение совокупности:

Ответ: $x \in [-6, 0) \cup [1, +\infty)$.

Помогло решение? Оставьте отзыв в комментариях ниже.

Присоединяйтесь к Телеграм-группе @gdz_by_belarus

Присоединиться

Мы подготовили для вас ответ c подробным объяснением домашего задания по алгебре за 9 класс, для упражнения номер 3.203 расположенного на странице 198 к учебнику 2019 года издания для учащихся школ и гимназий.

Теперь на нашем сайте ГДЗ.ТОП вы всегда легко и бесплатно найдёте условие с правильным ответом на вопрос «Как решить ДЗ» и «Как сделать» задание по алгебре к упражнению №3.203 (с. 198), авторов: Арефьева (Ирина Глебовна), Пирютко (Ольга Николаевна), учебного пособия издательства Народная асвета.