Номер 1.183, страница 55 - гдз по алгебре 9 класс учебник Арефьева, Пирютко
Авторы: Арефьева И. Г., Пирютко О. Н.
Тип: Учебник
Издательство: Народная асвета
Год издания: 2019 - 2026
Цвет обложки: голубой, синий с графиком
ISBN: 978-985-03-3077-2
Допущено Министерством образования Республики Беларусь
Популярные ГДЗ в 9 классе
Глава 1. Рациональные выражения. Параграф 4. Умножение и деление рациональных дробей - номер 1.183, страница 55.
№1.183 (с. 55)
Условие. №1.183 (с. 55)
скриншот условия
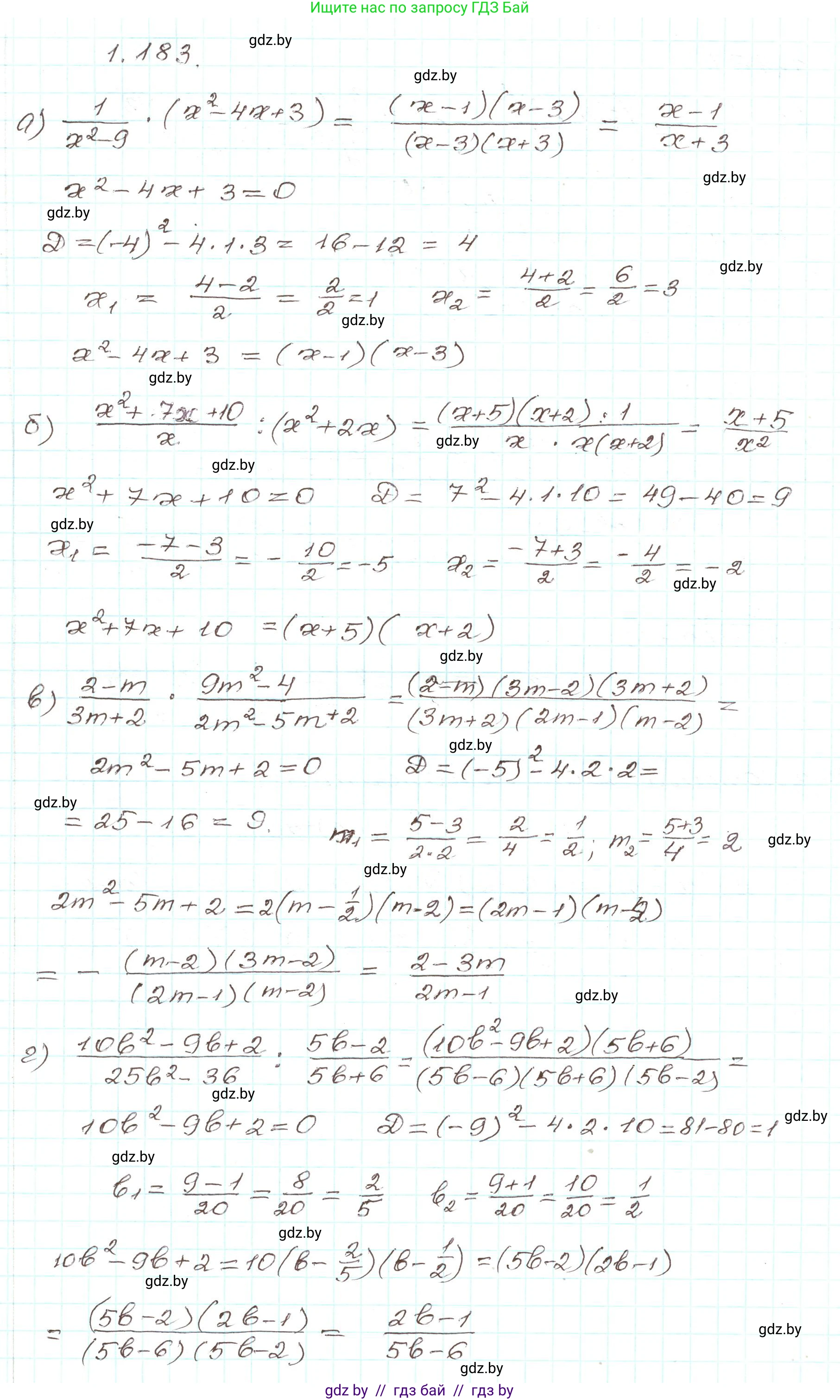
1.183. Упростите выражение:
a) $ \frac{1}{x^2 - 9} \cdot (x^2 - 4x + 3); $
б) $ \frac{x^2 + 7x + 10}{x} : (x^2 + 2x); $
В) $ \frac{2 - m}{3m + 2} \cdot \frac{9m^2 - 4}{2m^2 - 5m + 2}; $
Г) $ \frac{10b^2 - 9b + 2}{25b^2 - 36} : \frac{5b - 2}{5b + 6}; $
Д) $ \frac{x^2 + 8x + 15}{x^2 + 8x + 12} \cdot \frac{x^2 - 36}{x^2 - 25}; $
Е) $ \frac{a^2 - 8a + 16}{4 - a^2} : \frac{a^2 - 5a + 4}{a^2 - 5a + 6}. $
Решение. №1.183 (с. 55)
Решение 2. №1.183 (с. 55)
а) Для упрощения выражения $\frac{1}{x^2 - 9} \cdot (x^2 - 4x + 3)$ разложим на множители знаменатель дроби и выражение в скобках.
1. Знаменатель $x^2 - 9$ раскладывается по формуле разности квадратов: $x^2 - 9 = (x-3)(x+3)$.
2. Квадратный трехчлен $x^2 - 4x + 3$ раскладываем на множители, найдя его корни через уравнение $x^2 - 4x + 3 = 0$. По теореме Виета, корни $x_1=1$ и $x_2=3$. Тогда $x^2 - 4x + 3 = (x-1)(x-3)$.
3. Подставляем полученные разложения в исходное выражение:
$\frac{1}{(x-3)(x+3)} \cdot (x-1)(x-3) = \frac{(x-1)(x-3)}{(x-3)(x+3)}$
4. Сокращаем общий множитель $(x-3)$:
$\frac{x-1}{x+3}$
Ответ: $\frac{x-1}{x+3}$.
б) Для упрощения выражения $\frac{x^2 + 7x + 10}{x} : (x^2 + 2x)$ заменим деление на умножение на обратную дробь и разложим многочлены на множители.
$\frac{x^2 + 7x + 10}{x} \cdot \frac{1}{x^2 + 2x}$
1. Раскладываем числитель первой дроби $x^2 + 7x + 10$. Корни уравнения $x^2 + 7x + 10 = 0$ по теореме Виета: $x_1=-5, x_2=-2$. Тогда $x^2 + 7x + 10 = (x+5)(x+2)$.
2. Раскладываем знаменатель второй дроби $x^2 + 2x$, вынося общий множитель за скобки: $x(x+2)$.
3. Подставляем разложения в выражение:
$\frac{(x+5)(x+2)}{x} \cdot \frac{1}{x(x+2)} = \frac{(x+5)(x+2)}{x \cdot x(x+2)}$
4. Сокращаем общий множитель $(x+2)$:
$\frac{x+5}{x \cdot x} = \frac{x+5}{x^2}$
Ответ: $\frac{x+5}{x^2}$.
в) Для упрощения выражения $\frac{2-m}{3m+2} \cdot \frac{9m^2 - 4}{2m^2 - 5m + 2}$ разложим многочлены на множители.
1. В числителе первой дроби вынесем -1: $2-m = -(m-2)$.
2. В числителе второй дроби используем формулу разности квадратов: $9m^2 - 4 = (3m-2)(3m+2)$.
3. В знаменателе второй дроби решим уравнение $2m^2 - 5m + 2 = 0$. Дискриминант $D = (-5)^2 - 4 \cdot 2 \cdot 2 = 25 - 16 = 9$. Корни $m_1 = \frac{5+3}{4} = 2$ и $m_2 = \frac{5-3}{4} = \frac{1}{2}$. Тогда $2m^2 - 5m + 2 = 2(m-2)(m-\frac{1}{2}) = (m-2)(2m-1)$.
4. Подставляем разложения:
$\frac{-(m-2)}{3m+2} \cdot \frac{(3m-2)(3m+2)}{(m-2)(2m-1)} = \frac{-(m-2)(3m-2)(3m+2)}{(3m+2)(m-2)(2m-1)}$
5. Сокращаем общие множители $(m-2)$ и $(3m+2)$:
$\frac{-(3m-2)}{2m-1} = \frac{2-3m}{2m-1}$
Ответ: $\frac{2-3m}{2m-1}$.
г) Для упрощения выражения $\frac{10b^2 - 9b + 2}{25b^2 - 36} : \frac{5b-2}{5b+6}$ заменим деление на умножение и разложим многочлены на множители.
$\frac{10b^2 - 9b + 2}{25b^2 - 36} \cdot \frac{5b+6}{5b-2}$
1. Раскладываем числитель первой дроби $10b^2 - 9b + 2$. Решим уравнение $10b^2 - 9b + 2 = 0$. Дискриминант $D = (-9)^2 - 4 \cdot 10 \cdot 2 = 81 - 80 = 1$. Корни $b_1 = \frac{9+1}{20} = \frac{1}{2}$ и $b_2 = \frac{9-1}{20} = \frac{2}{5}$. Тогда $10b^2 - 9b + 2 = 10(b-\frac{1}{2})(b-\frac{2}{5}) = (2b-1)(5b-2)$.
2. Раскладываем знаменатель первой дроби по формуле разности квадратов: $25b^2 - 36 = (5b-6)(5b+6)$.
3. Подставляем разложения:
$\frac{(2b-1)(5b-2)}{(5b-6)(5b+6)} \cdot \frac{5b+6}{5b-2} = \frac{(2b-1)(5b-2)(5b+6)}{(5b-6)(5b+6)(5b-2)}$
4. Сокращаем общие множители $(5b-2)$ и $(5b+6)$:
$\frac{2b-1}{5b-6}$
Ответ: $\frac{2b-1}{5b-6}$.
д) Для упрощения выражения $\frac{x^2 + 8x + 15}{x^2 + 8x + 12} \cdot \frac{x^2 - 36}{x^2 - 25}$ разложим все числители и знаменатели на множители.
1. $x^2 + 8x + 15 = (x+3)(x+5)$ (по теореме Виета, корни -3 и -5).
2. $x^2 + 8x + 12 = (x+2)(x+6)$ (по теореме Виета, корни -2 и -6).
3. $x^2 - 36 = (x-6)(x+6)$ (разность квадратов).
4. $x^2 - 25 = (x-5)(x+5)$ (разность квадратов).
5. Подставляем разложения в выражение:
$\frac{(x+3)(x+5)}{(x+2)(x+6)} \cdot \frac{(x-6)(x+6)}{(x-5)(x+5)} = \frac{(x+3)(x+5)(x-6)(x+6)}{(x+2)(x+6)(x-5)(x+5)}$
6. Сокращаем общие множители $(x+5)$ и $(x+6)$:
$\frac{(x+3)(x-6)}{(x+2)(x-5)}$
Ответ: $\frac{(x+3)(x-6)}{(x+2)(x-5)}$.
е) Для упрощения выражения $\frac{a^2 - 8a + 16}{4 - a^2} : \frac{a^2 - 5a + 4}{a^2 - 5a + 6}$ заменим деление умножением и разложим многочлены на множители.
$\frac{a^2 - 8a + 16}{4 - a^2} \cdot \frac{a^2 - 5a + 6}{a^2 - 5a + 4}$
1. $a^2 - 8a + 16 = (a-4)^2$ (квадрат разности).
2. $4 - a^2 = (2-a)(2+a) = -(a-2)(a+2)$ (разность квадратов и вынесение знака).
3. $a^2 - 5a + 6 = (a-2)(a-3)$ (по теореме Виета, корни 2 и 3).
4. $a^2 - 5a + 4 = (a-1)(a-4)$ (по теореме Виета, корни 1 и 4).
5. Подставляем разложения:
$\frac{(a-4)^2}{-(a-2)(a+2)} \cdot \frac{(a-2)(a-3)}{(a-1)(a-4)} = \frac{(a-4)(a-4)(a-2)(a-3)}{-(a-2)(a+2)(a-1)(a-4)}$
6. Сокращаем общие множители $(a-4)$ и $(a-2)$:
$\frac{(a-4)(a-3)}{-(a+2)(a-1)} = -\frac{(a-4)(a-3)}{(a+2)(a-1)}$
7. Можно внести знак минус в числитель, изменив множитель $(a-4)$ на $(4-a)$:
$\frac{(4-a)(a-3)}{(a+2)(a-1)}$
Ответ: $\frac{(4-a)(a-3)}{(a+2)(a-1)}$.
Другие задания:
Помогло решение? Оставьте отзыв в комментариях ниже.
Присоединяйтесь к Телеграм-группе @gdz_by_belarus
ПрисоединитьсяМы подготовили для вас ответ c подробным объяснением домашего задания по алгебре за 9 класс, для упражнения номер 1.183 расположенного на странице 55 к учебнику 2019 года издания для учащихся школ и гимназий.
Теперь на нашем сайте ГДЗ.ТОП вы всегда легко и бесплатно найдёте условие с правильным ответом на вопрос «Как решить ДЗ» и «Как сделать» задание по алгебре к упражнению №1.183 (с. 55), авторов: Арефьева (Ирина Глебовна), Пирютко (Ольга Николаевна), учебного пособия издательства Народная асвета.