Номер 1.353, страница 88 - гдз по алгебре 8 класс учебник Арефьева, Пирютко
Авторы: Арефьева И. Г., Пирютко О. Н.
Тип: Учебник
Издательство: Адукацыя i выхаванне
Год издания: 2024 - 2026
Цвет обложки: бирюзовый с графиком
ISBN: ISBN 978-985-03-4081-8
Допущено Министерством образования Республики Беларусь
Популярные ГДЗ в 8 классе
Глава 1. Квадратные корни и их свойства. Действительные числа. Параграф 6. Системы и совокупности линейных неравенств с одной переменной. Решение двойных неравенств - номер 1.353, страница 88.
№1.353 (с. 88)
Условие. №1.353 (с. 88)
скриншот условия
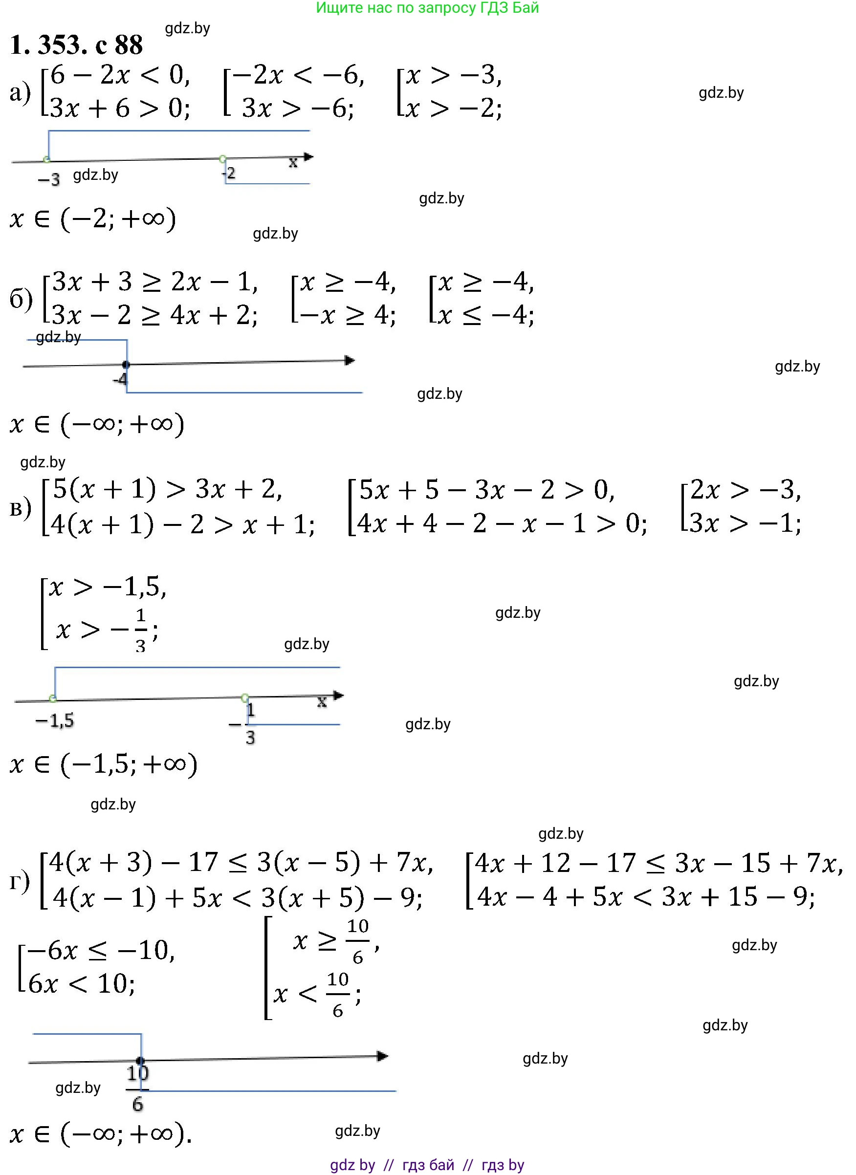
1.353. Решите совокупность неравенств, используя алгоритм:
a) $\begin{cases} 6 - 2x < 0, \\ 3x + 6 > 0; \end{cases}$
б) $\begin{cases} 3x + 3 \ge 2x - 1, \\ 3x - 2 \ge 4x + 2; \end{cases}$
в) $\begin{cases} 5(x + 1) > 3x + 2, \\ 4(x + 1) - 2 > x + 1; \end{cases}$
г) $\begin{cases} 4(x + 3) - 17 \le 3(x - 5) + 7x, \\ 4(x - 1) + 5x < 3(x + 5) - 9. \end{cases}$
Решение. №1.353 (с. 88)
Решение 2. №1.353 (с. 88)
а) Решим совокупность неравенств:
$\begin{cases} 6 - 2x < 0 \\ 3x + 6 > 0 \end{cases}$
Решение совокупности — это объединение решений каждого из неравенств.
1. Решим первое неравенство:
$6 - 2x < 0$
$-2x < -6$
При делении на отрицательное число знак неравенства меняется на противоположный:
$x > 3$
Решение этого неравенства: $x \in (3; +\infty)$.
2. Решим второе неравенство:
$3x + 6 > 0$
$3x > -6$
$x > -2$
Решение этого неравенства: $x \in (-2; +\infty)$.
3. Найдём объединение полученных решений: $(3; +\infty) \cup (-2; +\infty)$.
Поскольку все числа, большие 3, также являются и большими -2, объединением этих двух промежутков будет больший из них, то есть $(-2; +\infty)$.
Ответ: $x > -2$.
б) Решим совокупность неравенств:
$\begin{cases} 3x + 3 \ge 2x - 1 \\ 3x - 2 \ge 4x + 2 \end{cases}$
1. Решим первое неравенство:
$3x + 3 \ge 2x - 1$
$3x - 2x \ge -1 - 3$
$x \ge -4$
Решение этого неравенства: $x \in [-4; +\infty)$.
2. Решим второе неравенство:
$3x - 2 \ge 4x + 2$
$3x - 4x \ge 2 + 2$
$-x \ge 4$
При умножении на -1 знак неравенства меняется на противоположный:
$x \le -4$
Решение этого неравенства: $x \in (-\infty; -4]$.
3. Найдём объединение полученных решений: $[-4; +\infty) \cup (-\infty; -4]$.
Первый промежуток включает все числа, большие или равные -4. Второй — все числа, меньшие или равные -4. Вместе они покрывают всю числовую прямую.
Объединение: $(-\infty; +\infty)$.
Ответ: $x$ - любое число.
в) Решим совокупность неравенств:
$\begin{cases} 5(x + 1) > 3x + 2 \\ 4(x + 1) - 2 > x + 1 \end{cases}$
1. Решим первое неравенство:
$5(x + 1) > 3x + 2$
$5x + 5 > 3x + 2$
$5x - 3x > 2 - 5$
$2x > -3$
$x > -\frac{3}{2}$
Решение этого неравенства: $x \in (-1.5; +\infty)$.
2. Решим второе неравенство:
$4(x + 1) - 2 > x + 1$
$4x + 4 - 2 > x + 1$
$4x + 2 > x + 1$
$3x > -1$
$x > -\frac{1}{3}$
Решение этого неравенства: $x \in (-\frac{1}{3}; +\infty)$.
3. Найдём объединение полученных решений: $(-\frac{3}{2}; +\infty) \cup (-\frac{1}{3}; +\infty)$.
Так как $-\frac{1}{3} > -\frac{3}{2}$, то промежуток $(-\frac{1}{3}; +\infty)$ является частью промежутка $(-\frac{3}{2}; +\infty)$. Их объединением будет больший промежуток.
Объединение: $(-\frac{3}{2}; +\infty)$.
Представим неправильную дробь в виде смешанного числа: $-\frac{3}{2} = -1\frac{1}{2}$.
Ответ: $x > -\textbf{1}\frac{1}{2}$.
г) Решим совокупность неравенств:
$\begin{cases} 4(x + 3) - 17 \le 3(x - 5) + 7x \\ 4(x - 1) + 5x < 3(x + 5) - 9 \end{cases}$
1. Решим первое неравенство:
$4(x + 3) - 17 \le 3(x - 5) + 7x$
$4x + 12 - 17 \le 3x - 15 + 7x$
$4x - 5 \le 10x - 15$
$-5 + 15 \le 10x - 4x$
$10 \le 6x$
$x \ge \frac{10}{6}$
$x \ge \frac{5}{3}$
Решение этого неравенства: $x \in [\frac{5}{3}; +\infty)$.
2. Решим второе неравенство:
$4(x - 1) + 5x < 3(x + 5) - 9$
$4x - 4 + 5x < 3x + 15 - 9$
$9x - 4 < 3x + 6$
$9x - 3x < 6 + 4$
$6x < 10$
$x < \frac{10}{6}$
$x < \frac{5}{3}$
Решение этого неравенства: $x \in (-\infty; \frac{5}{3})$.
3. Найдём объединение полученных решений: $[\frac{5}{3}; +\infty) \cup (-\infty; \frac{5}{3})$.
Первый промежуток включает все числа, большие или равные $\frac{5}{3}$. Второй — все числа, строго меньшие $\frac{5}{3}$. Вместе они покрывают всю числовую прямую.
Объединение: $(-\infty; +\infty)$.
Ответ: $x$ - любое число.
Другие задания:
Помогло решение? Оставьте отзыв в комментариях ниже.
Присоединяйтесь к Телеграм-группе @gdz_by_belarus
ПрисоединитьсяМы подготовили для вас ответ c подробным объяснением домашего задания по алгебре за 8 класс, для упражнения номер 1.353 расположенного на странице 88 к учебнику 2024 года издания для учащихся школ и гимназий.
Теперь на нашем сайте ГДЗ.ТОП вы всегда легко и бесплатно найдёте условие с правильным ответом на вопрос «Как решить ДЗ» и «Как сделать» задание по алгебре к упражнению №1.353 (с. 88), авторов: Арефьева (Ирина Глебовна), Пирютко (Ольга Николаевна), учебного пособия издательства Адукацыя i выхаванне.