Номер 2.434, страница 140 - гдз по алгебре 7 класс учебник Арефьева, Пирютко
Авторы: Арефьева И. Г., Пирютко О. Н.
Тип: Учебник
Издательство: Народная асвета
Год издания: 2022 - 2026
Цвет обложки: зелёный с графиком
ISBN: ISBN 978-985-03-3770-2
Допущено Министерством образования Республики Беларусь
Популярные ГДЗ в 7 классе
Глава 2. Выражения и их преобразования. Параграф 14. Разложение многочлена на множители - номер 2.434, страница 140.
№2.434 (с. 140)
Условие. №2.434 (с. 140)
скриншот условия
2.434. Разложите многочлен на множители:
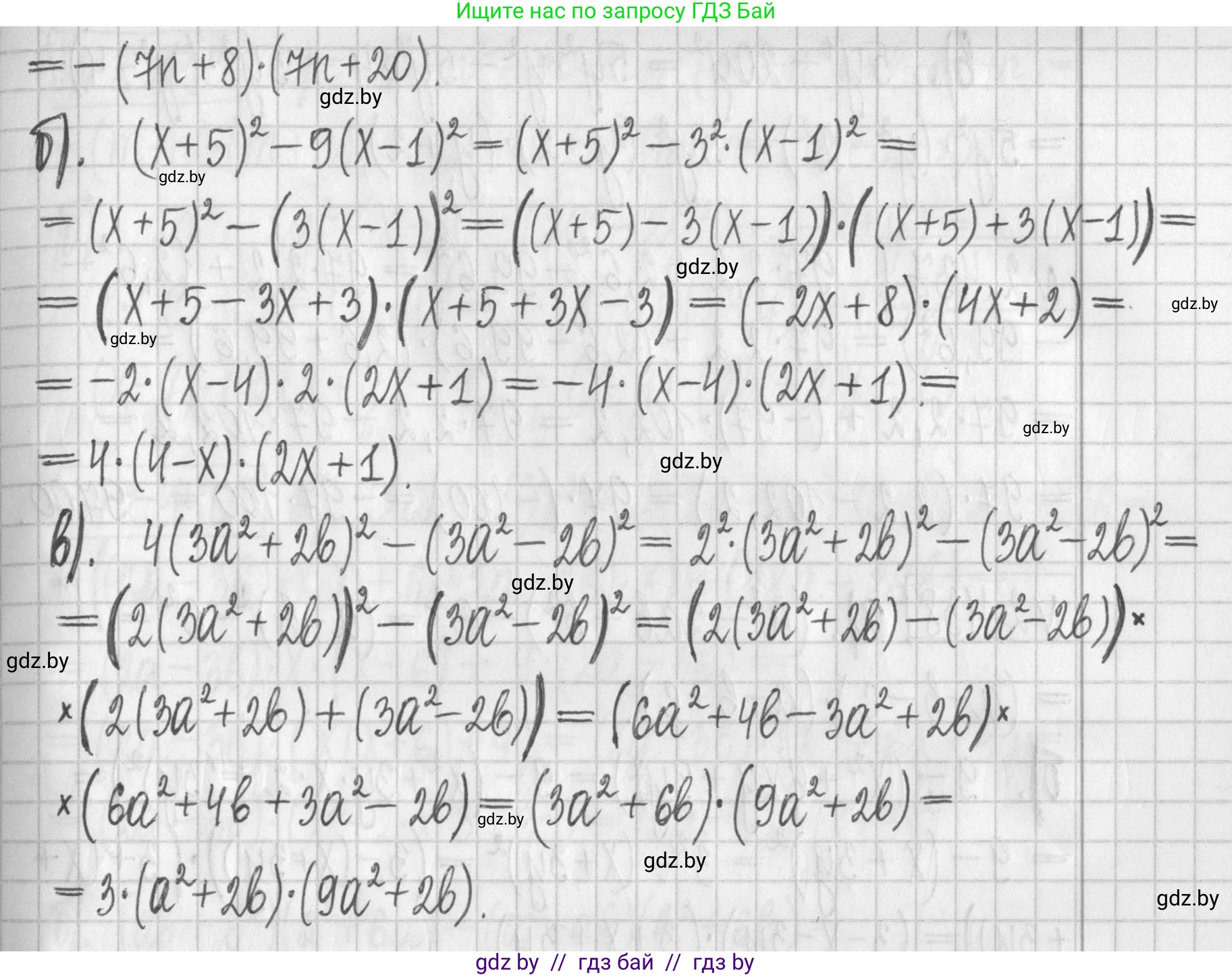
а) $36 - 49(n + 2)^2$
б) $(x + 5)^2 - 9(x - 1)^2$
в) $4(3a^2 + 2b)^2 - (3a^2 - 2b)^2$
Решение. №2.434 (с. 140)
Решение 2. №2.434 (с. 140)
Для решения всех пунктов используется формула сокращённого умножения "разность квадратов": $a^2 - b^2 = (a - b)(a + b)$.
а) $36 - 49(n + 2)^2$
Представим каждый член выражения в виде квадрата: $36 = 6^2$ и $49(n + 2)^2 = (7(n + 2))^2$.
Теперь применим формулу разности квадратов:
$36 - 49(n + 2)^2 = 6^2 - (7(n + 2))^2 = (6 - 7(n + 2))(6 + 7(n + 2))$
Раскроем скобки внутри каждого множителя и упростим:
Первый множитель: $6 - 7(n + 2) = 6 - 7n - 14 = -7n - 8$.
Второй множитель: $6 + 7(n + 2) = 6 + 7n + 14 = 7n + 20$.
Результат разложения: $(-7n - 8)(7n + 20)$.
Ответ: $(-7n - 8)(7n + 20)$
б) $(x + 5)^2 - 9(x - 1)^2$
Представим выражение в виде разности квадратов. Первый член уже является квадратом $(x+5)^2$. Второй член: $9(x - 1)^2 = (3(x - 1))^2$.
Применим формулу разности квадратов:
$(x + 5)^2 - (3(x - 1))^2 = ((x + 5) - 3(x - 1))((x + 5) + 3(x - 1))$
Раскроем внутренние скобки и упростим выражения в каждом множителе:
Первый множитель: $x + 5 - 3(x - 1) = x + 5 - 3x + 3 = -2x + 8$.
Второй множитель: $x + 5 + 3(x - 1) = x + 5 + 3x - 3 = 4x + 2$.
Получаем произведение: $(-2x + 8)(4x + 2)$.
Для дальнейшего упрощения вынесем общие множители из каждой скобки: $2(4 - x)$ и $2(2x + 1)$.
Итоговое разложение: $2(4 - x) \cdot 2(2x + 1) = 4(4 - x)(2x + 1)$.
Ответ: $4(4 - x)(2x + 1)$
в) $4(3a^2 + 2b)^2 - (3a^2 - 2b)^2$
Представим первый член в виде квадрата: $4(3a^2 + 2b)^2 = (2(3a^2 + 2b))^2$.
Теперь всё выражение является разностью квадратов. Применим формулу:
$(2(3a^2 + 2b))^2 - (3a^2 - 2b)^2 = (2(3a^2 + 2b) - (3a^2 - 2b))(2(3a^2 + 2b) + (3a^2 - 2b))$
Раскроем скобки и упростим выражения в каждом множителе:
Первый множитель: $2(3a^2 + 2b) - (3a^2 - 2b) = 6a^2 + 4b - 3a^2 + 2b = 3a^2 + 6b$.
Второй множитель: $2(3a^2 + 2b) + (3a^2 - 2b) = 6a^2 + 4b + 3a^2 - 2b = 9a^2 + 2b$.
Получаем произведение: $(3a^2 + 6b)(9a^2 + 2b)$.
Вынесем общий множитель 3 из первой скобки:
$3(a^2 + 2b)(9a^2 + 2b)$.
Ответ: $3(a^2 + 2b)(9a^2 + 2b)$
Другие задания:
Помогло решение? Оставьте отзыв в комментариях ниже.
Присоединяйтесь к Телеграм-группе @gdz_by_belarus
ПрисоединитьсяМы подготовили для вас ответ c подробным объяснением домашего задания по алгебре за 7 класс, для упражнения номер 2.434 расположенного на странице 140 к учебнику 2022 года издания для учащихся школ и гимназий.
Теперь на нашем сайте ГДЗ.ТОП вы всегда легко и бесплатно найдёте условие с правильным ответом на вопрос «Как решить ДЗ» и «Как сделать» задание по алгебре к упражнению №2.434 (с. 140), авторов: Арефьева (Ирина Глебовна), Пирютко (Ольга Николаевна), учебного пособия издательства Народная асвета.