Номер 27.8, страница 128 - гдз по алгебре 7-9 класс сборник задач Арефьева, Пирютко

Алгебра, 7-9 класс Сборник задач, авторы: Арефьева Ирина Глебовна, Пирютко Ольга Николаевна, издательство Народная асвета, Минск, 2020

Авторы: Арефьева И. Г., Пирютко О. Н.

Тип: Сборник задач

Издательство: Народная асвета

Год издания: 2020 - 2026

Цвет обложки: синий с графиками

Допущено Министерством образования Республики Беларусь

Популярные ГДЗ в 7 классе

8 класс. Параграф 27. Квадратный трехчлен. Разложение квадратного трехчлена на множители - номер 27.8, страница 128.

№27.8 (с. 128)
Условие. №27.8 (с. 128)
скриншот условия
Алгебра, 7-9 класс Сборник задач, авторы: Арефьева Ирина Глебовна, Пирютко Ольга Николаевна, издательство Народная асвета, Минск, 2020, страница 128, номер 27.8, Условие

27.8*. Разложите на множители многочлен:

а) $x^4 - x^2 - 20$;

б) $x^4 - 10x^2 + 9$;

В) $36x^4 - 13x^2 + 1$;

Г) $6x^4 - 5x^2 - 1$.

Решение. №27.8 (с. 128)
Алгебра, 7-9 класс Сборник задач, авторы: Арефьева Ирина Глебовна, Пирютко Ольга Николаевна, издательство Народная асвета, Минск, 2020, страница 128, номер 27.8, Решение Алгебра, 7-9 класс Сборник задач, авторы: Арефьева Ирина Глебовна, Пирютко Ольга Николаевна, издательство Народная асвета, Минск, 2020, страница 128, номер 27.8, Решение (продолжение 2)
Решение 2. №27.8 (с. 128)

а)

Рассмотрим многочлен $x^4 - x^2 - 20$. Это биквадратный многочлен. Для его разложения на множители введем новую переменную. Пусть $t = x^2$. Тогда исходный многочлен примет вид квадратного трехчлена относительно $t$:

$t^2 - t - 20$

Найдем корни соответствующего квадратного уравнения $t^2 - t - 20 = 0$ через дискриминант:

$D = b^2 - 4ac = (-1)^2 - 4 \cdot 1 \cdot (-20) = 1 + 80 = 81$

$t_1 = \frac{-b + \sqrt{D}}{2a} = \frac{1 + \sqrt{81}}{2} = \frac{1 + 9}{2} = 5$

$t_2 = \frac{-b - \sqrt{D}}{2a} = \frac{1 - \sqrt{81}}{2} = \frac{1 - 9}{2} = -4$

Теперь мы можем разложить квадратный трехчлен на множители по формуле $a(t - t_1)(t - t_2)$:

$t^2 - t - 20 = (t - 5)(t - (-4)) = (t - 5)(t + 4)$

Выполним обратную замену, подставив $x^2$ вместо $t$:

$(x^2 - 5)(x^2 + 4)$

Первый множитель $(x^2 - 5)$ можно разложить по формуле разности квадратов $a^2 - b^2 = (a - b)(a + b)$:

$x^2 - 5 = x^2 - (\sqrt{5})^2 = (x - \sqrt{5})(x + \sqrt{5})$

Второй множитель $(x^2 + 4)$ является суммой квадратов и не имеет действительных корней, поэтому он не раскладывается на линейные множители с действительными коэффициентами.

Окончательное разложение исходного многочлена имеет вид:

$(x - \sqrt{5})(x + \sqrt{5})(x^2 + 4)$

Ответ: $(x - \sqrt{5})(x + \sqrt{5})(x^2 + 4)$.

б)

Рассмотрим многочлен $x^4 - 10x^2 + 9$. Сделаем замену $t = x^2$. Получим квадратный трехчлен:

$t^2 - 10t + 9$

Найдем корни уравнения $t^2 - 10t + 9 = 0$. По теореме Виета, сумма корней равна 10, а их произведение равно 9. Следовательно, корни $t_1 = 1$ и $t_2 = 9$.

Разложение для $t$ имеет вид: $(t - 1)(t - 9)$.

Произведем обратную замену $t=x^2$:

$(x^2 - 1)(x^2 - 9)$

Оба множителя являются разностями квадратов. Разложим их по формуле $a^2 - b^2 = (a - b)(a + b)$:

$x^2 - 1 = (x - 1)(x + 1)$

$x^2 - 9 = (x - 3)(x + 3)$

Окончательное разложение: $(x - 1)(x + 1)(x - 3)(x + 3)$.

Ответ: $(x - 1)(x + 1)(x - 3)(x + 3)$.

в)

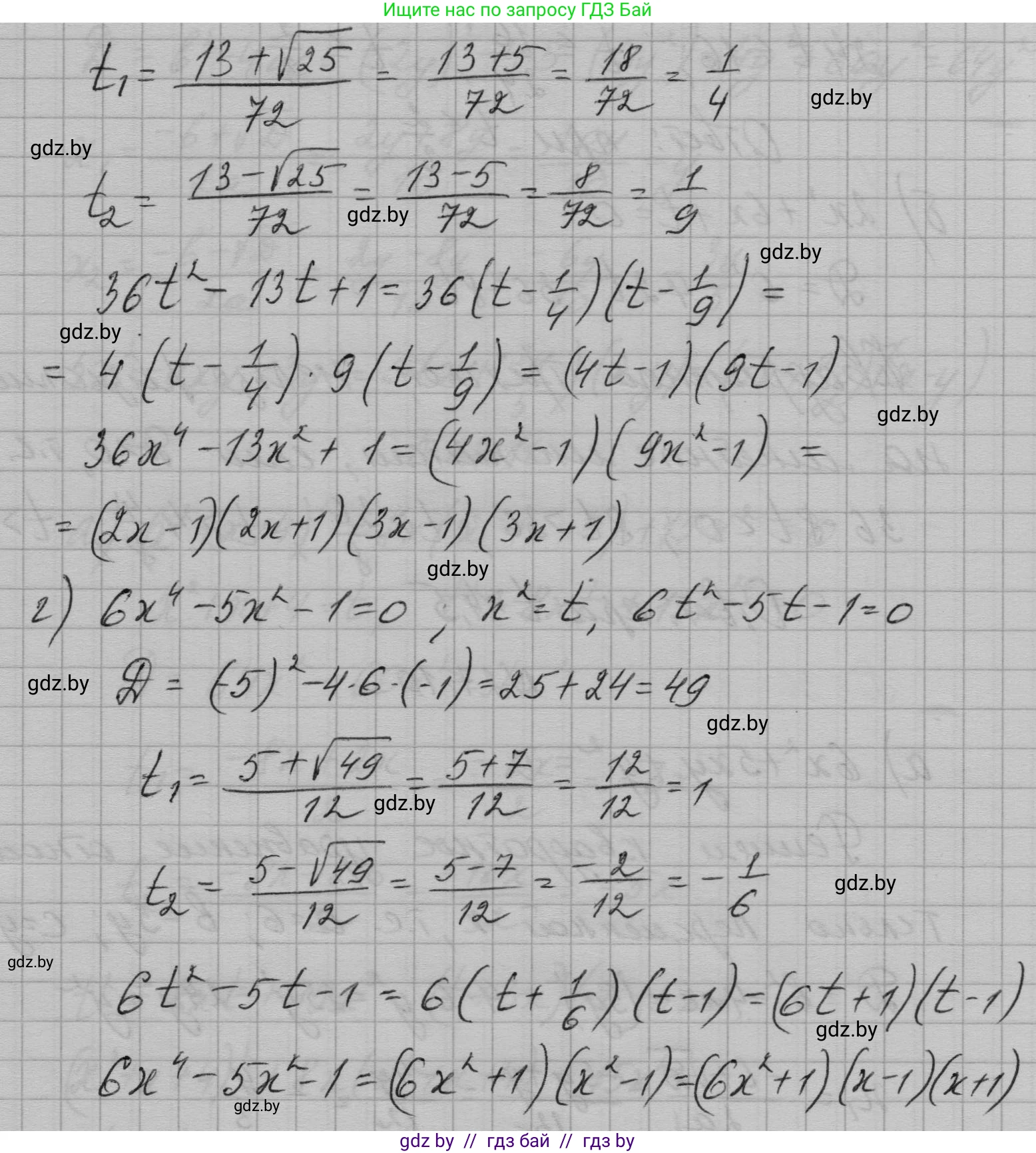
Рассмотрим многочлен $36x^4 - 13x^2 + 1$. Сделаем замену $t = x^2$. Получим квадратный трехчлен:

$36t^2 - 13t + 1$

Найдем корни уравнения $36t^2 - 13t + 1 = 0$ через дискриминант:

$D = (-13)^2 - 4 \cdot 36 \cdot 1 = 169 - 144 = 25$

$t_1 = \frac{13 + \sqrt{25}}{2 \cdot 36} = \frac{13 + 5}{72} = \frac{18}{72} = \frac{1}{4}$

$t_2 = \frac{13 - \sqrt{25}}{2 \cdot 36} = \frac{13 - 5}{72} = \frac{8}{72} = \frac{1}{9}$

Разложим квадратный трехчлен на множители по формуле $a(t - t_1)(t - t_2)$:

$36(t - \frac{1}{4})(t - \frac{1}{9})$

Для удобства внесем множитель 36 в скобки, представив его как $4 \cdot 9$:

$(4(t - \frac{1}{4}))(9(t - \frac{1}{9})) = (4t - 1)(9t - 1)$

Произведем обратную замену $t = x^2$:

$(4x^2 - 1)(9x^2 - 1)$

Оба множителя являются разностями квадратов. Разложим их:

$4x^2 - 1 = (2x)^2 - 1^2 = (2x - 1)(2x + 1)$

$9x^2 - 1 = (3x)^2 - 1^2 = (3x - 1)(3x + 1)$

Окончательное разложение: $(2x - 1)(2x + 1)(3x - 1)(3x + 1)$.

Ответ: $(2x - 1)(2x + 1)(3x - 1)(3x + 1)$.

г)

Рассмотрим многочлен $6x^4 - 5x^2 - 1$. Сделаем замену $t = x^2$. Получим квадратный трехчлен:

$6t^2 - 5t - 1$

Найдем корни уравнения $6t^2 - 5t - 1 = 0$ через дискриминант:

$D = (-5)^2 - 4 \cdot 6 \cdot (-1) = 25 + 24 = 49$

$t_1 = \frac{5 + \sqrt{49}}{2 \cdot 6} = \frac{5 + 7}{12} = \frac{12}{12} = 1$

$t_2 = \frac{5 - \sqrt{49}}{2 \cdot 6} = \frac{5 - 7}{12} = \frac{-2}{12} = -\frac{1}{6}$

Разложим квадратный трехчлен на множители:

$6(t - 1)(t - (-\frac{1}{6})) = 6(t - 1)(t + \frac{1}{6})$

Внесем множитель 6 во вторую скобку:

$(t - 1)(6(t + \frac{1}{6})) = (t - 1)(6t + 1)$

Произведем обратную замену $t = x^2$:

$(x^2 - 1)(6x^2 + 1)$

Первый множитель $(x^2 - 1)$ является разностью квадратов:

$x^2 - 1 = (x - 1)(x + 1)$

Второй множитель $(6x^2 + 1)$ не раскладывается на множители с действительными коэффициентами.

Окончательное разложение: $(x - 1)(x + 1)(6x^2 + 1)$.

Ответ: $(x - 1)(x + 1)(6x^2 + 1)$.

Помогло решение? Оставьте отзыв в комментариях ниже.

Присоединяйтесь к Телеграм-группе @gdz_by_belarus

Присоединиться

Мы подготовили для вас ответ c подробным объяснением домашего задания по алгебре за 7-9 класс, для упражнения номер 27.8 расположенного на странице 128 к сборнику задач 2020 года издания для учащихся школ и гимназий.

Теперь на нашем сайте ГДЗ.ТОП вы всегда легко и бесплатно найдёте условие с правильным ответом на вопрос «Как решить ДЗ» и «Как сделать» задание по алгебре к упражнению №27.8 (с. 128), авторов: Арефьева (Ирина Глебовна), Пирютко (Ольга Николаевна), учебного пособия издательства Народная асвета.