Номер 24.14, страница 115 - гдз по алгебре 7-9 класс сборник задач Арефьева, Пирютко
Авторы: Арефьева И. Г., Пирютко О. Н.
Тип: Сборник задач
Издательство: Народная асвета
Год издания: 2020 - 2026
Цвет обложки: синий с графиками
Допущено Министерством образования Республики Беларусь
Популярные ГДЗ в 7 классе
8 класс. Параграф 24. Системы и совокупности линейных неравенств с одной переменной. Решение двойных неравенств. Числовые промежутки - номер 24.14, страница 115.
№24.14 (с. 115)
Условие. №24.14 (с. 115)
скриншот условия
24.14. Решите систему неравенств:
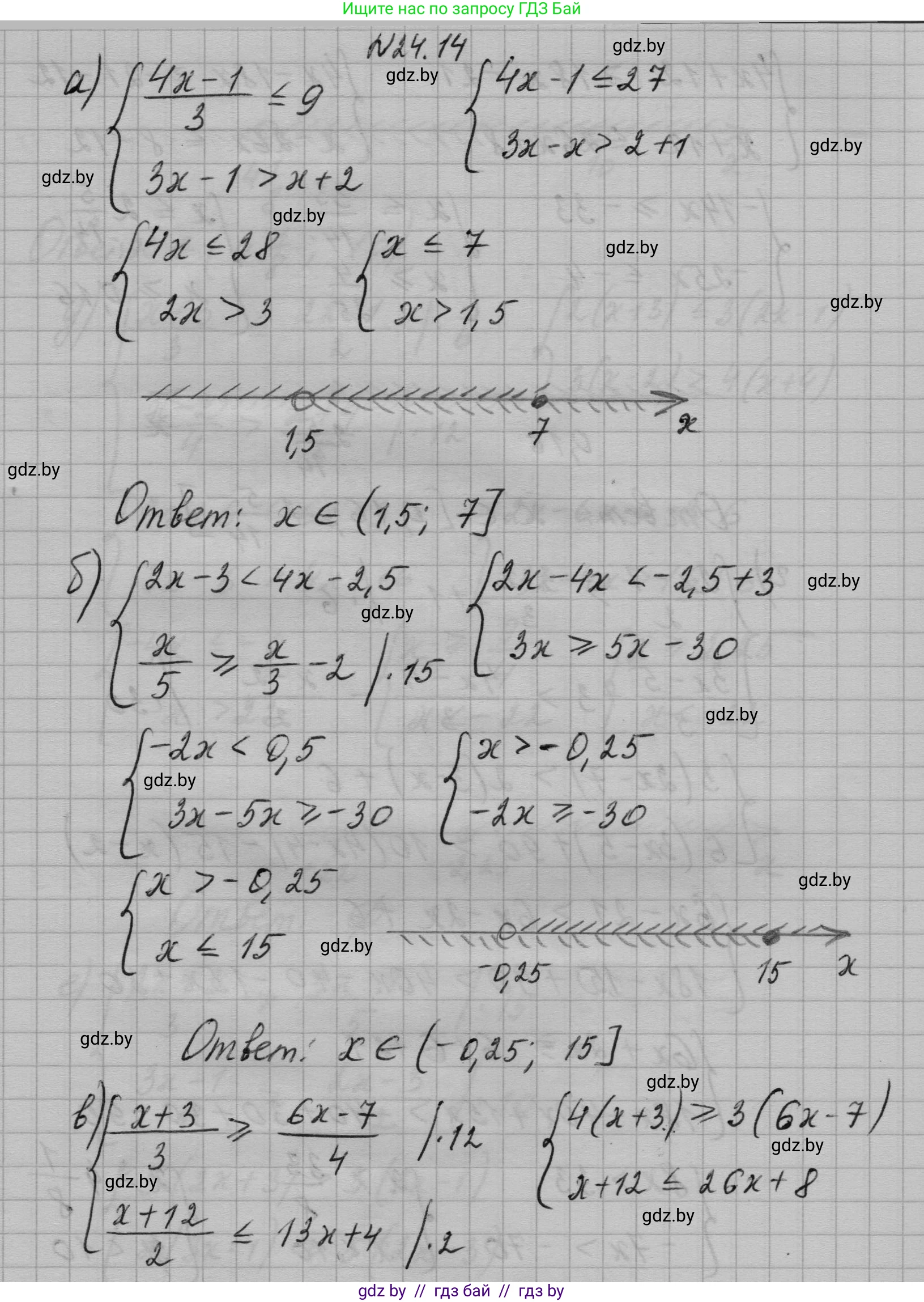
а) $ \left\{ \begin{array}{l} \frac{4x - 1}{3} \le 9, \\ 3x - 1 > x + 2; \end{array} \right. $
б) $ \left\{ \begin{array}{l} 2x - 3 < 4x - 2,5, \\ \frac{x}{5} \ge \frac{x}{3} - 2; \end{array} \right. $
в) $ \left\{ \begin{array}{l} \frac{x + 3}{3} \ge \frac{6x - 7}{4}, \\ \frac{x + 12}{2} \le 13x + 4; \end{array} \right. $
г) $ \left\{ \begin{array}{l} \frac{2x - 7}{2} > \frac{3 - x}{3} + 1, \\ \frac{3x - 5}{5} + 3 > \frac{4x - 4}{3} - \frac{x - 2}{2}; \end{array} \right. $
д) $ \left\{ \begin{array}{l} \frac{x + 3}{3} \le \frac{2x - 1}{2}, \\ \frac{x - 2}{4} > \frac{x + 4}{3}; \end{array} \right. $
е) $ \left\{ \begin{array}{l} \frac{2x + 3}{3} > \frac{3x - 1}{5}, \\ \frac{3x - 1}{5} \ge \frac{2x - 3}{2}; \end{array} \right. $
ж) $ \left\{ \begin{array}{l} \frac{x + 1}{2} - 2 \le \frac{x}{3}, \\ x + 1 + \frac{x + 1}{3} > -x - \frac{1}{3}; \end{array} \right. $
з) $ \left\{ \begin{array}{l} \frac{6 - x}{4} - \frac{x - 1}{3} > \frac{x - 4}{4}, \\ \frac{4x - 4}{5} - \frac{2x - 3}{3} < \frac{15x + 7}{15}. \end{array} \right. $
Решение. №24.14 (с. 115)
Решение 2. №24.14 (с. 115)
а)
Решим систему неравенств:
$\begin{cases} \frac{4x - 1}{3} \le 9, \\ 3x - 1 > x + 2; \end{cases}$
1. Решаем первое неравенство:
$\frac{4x - 1}{3} \le 9$
$4x - 1 \le 9 \cdot 3$
$4x - 1 \le 27$
$4x \le 28$
$x \le 7$
2. Решаем второе неравенство:
$3x - 1 > x + 2$
$3x - x > 2 + 1$
$2x > 3$
$x > \frac{3}{2}$ или $x > 1,5$
3. Находим пересечение решений: $x \le 7$ и $x > 1,5$.
Получаем интервал $1,5 < x \le 7$.
Ответ: $(1,5; 7]$.
б)
Решим систему неравенств:
$\begin{cases} 2x - 3 < 4x - 2,5, \\ \frac{x}{5} \ge \frac{x}{3} - 2; \end{cases}$
1. Решаем первое неравенство:
$2x - 3 < 4x - 2,5$
$-3 + 2,5 < 4x - 2x$
$-0,5 < 2x$
$x > -0,25$
2. Решаем второе неравенство:
$\frac{x}{5} \ge \frac{x}{3} - 2$
Умножим обе части на общий знаменатель 15:
$15 \cdot \frac{x}{5} \ge 15 \cdot \frac{x}{3} - 15 \cdot 2$
$3x \ge 5x - 30$
$30 \ge 5x - 3x$
$30 \ge 2x$
$x \le 15$
3. Находим пересечение решений: $x > -0,25$ и $x \le 15$.
Получаем интервал $-0,25 < x \le 15$.
Ответ: $(-0,25; 15]$.
в)
Решим систему неравенств:
$\begin{cases} \frac{x+3}{3} \ge \frac{6x-7}{4}, \\ \frac{x+12}{2} \le 13x+4; \end{cases}$
1. Решаем первое неравенство:
$\frac{x+3}{3} \ge \frac{6x-7}{4}$
$4(x+3) \ge 3(6x-7)$
$4x+12 \ge 18x-21$
$12+21 \ge 18x-4x$
$33 \ge 14x$
$x \le \frac{33}{14}$
2. Решаем второе неравенство:
$\frac{x+12}{2} \le 13x+4$
$x+12 \le 2(13x+4)$
$x+12 \le 26x+8$
$12-8 \le 26x-x$
$4 \le 25x$
$x \ge \frac{4}{25}$
3. Находим пересечение решений: $x \le \frac{33}{14}$ и $x \ge \frac{4}{25}$.
Получаем интервал $\frac{4}{25} \le x \le \frac{33}{14}$.
Ответ: $[\frac{4}{25}; \frac{33}{14}]$.
г)
Решим систему неравенств:
$\begin{cases} \frac{2x-7}{2} > \frac{3-x}{3}+1, \\ \frac{3x-5}{5}+3 > \frac{4x-4}{3}-\frac{x-2}{2}; \end{cases}$
1. Решаем первое неравенство:
$\frac{2x-7}{2} > \frac{3-x}{3}+1$
Умножим на 6:
$3(2x-7) > 2(3-x)+6$
$6x-21 > 6-2x+6$
$6x+2x > 12+21$
$8x > 33$
$x > \frac{33}{8}$
2. Решаем второе неравенство:
$\frac{3x-5}{5}+3 > \frac{4x-4}{3}-\frac{x-2}{2}$
Умножим на 30:
$6(3x-5)+90 > 10(4x-4)-15(x-2)$
$18x-30+90 > 40x-40-15x+30$
$18x+60 > 25x-10$
$70 > 7x$
$x < 10$
3. Находим пересечение решений: $x > \frac{33}{8}$ и $x < 10$.
Получаем интервал $\frac{33}{8} < x < 10$.
Ответ: $(\frac{33}{8}; 10)$.
д)
Решим систему неравенств:
$\begin{cases} \frac{x+3}{3} \le \frac{2x-1}{2}, \\ \frac{x-2}{4} > \frac{x+4}{3}; \end{cases}$
1. Решаем первое неравенство:
$\frac{x+3}{3} \le \frac{2x-1}{2}$
$2(x+3) \le 3(2x-1)$
$2x+6 \le 6x-3$
$9 \le 4x$
$x \ge \frac{9}{4}$
2. Решаем второе неравенство:
$\frac{x-2}{4} > \frac{x+4}{3}$
$3(x-2) > 4(x+4)$
$3x-6 > 4x+16$
$-22 > x$
$x < -22$
3. Находим пересечение решений: $x \ge \frac{9}{4}$ и $x < -22$.
Пересечения нет, так как не существует числа, которое одновременно больше $\frac{9}{4}$ (2.25) и меньше -22.
Ответ: решений нет.
е)
Решим систему неравенств:
$\begin{cases} \frac{2x+3}{3} > \frac{3x-1}{5}, \\ \frac{3x-1}{5} \ge \frac{2x-3}{2}; \end{cases}$
1. Решаем первое неравенство:
$\frac{2x+3}{3} > \frac{3x-1}{5}$
$5(2x+3) > 3(3x-1)$
$10x+15 > 9x-3$
$x > -18$
2. Решаем второе неравенство:
$\frac{3x-1}{5} \ge \frac{2x-3}{2}$
$2(3x-1) \ge 5(2x-3)$
$6x-2 \ge 10x-15$
$13 \ge 4x$
$x \le \frac{13}{4}$
3. Находим пересечение решений: $x > -18$ и $x \le \frac{13}{4}$.
Получаем интервал $-18 < x \le \frac{13}{4}$.
Ответ: $(-18; \frac{13}{4}]$.
ж)
Решим систему неравенств:
$\begin{cases} \frac{x+1}{2}-2 \le \frac{x}{3}, \\ x+1+\frac{x+1}{3} > -x-\frac{1}{3}; \end{cases}$
1. Решаем первое неравенство:
$\frac{x+1}{2}-2 \le \frac{x}{3}$
Умножим на 6:
$3(x+1)-12 \le 2x$
$3x+3-12 \le 2x$
$3x-9 \le 2x$
$x \le 9$
2. Решаем второе неравенство:
$x+1+\frac{x+1}{3} > -x-\frac{1}{3}$
Умножим на 3:
$3(x+1)+(x+1) > -3x-1$
$3x+3+x+1 > -3x-1$
$4x+4 > -3x-1$
$7x > -5$
$x > -\frac{5}{7}$
3. Находим пересечение решений: $x \le 9$ и $x > -\frac{5}{7}$.
Получаем интервал $-\frac{5}{7} < x \le 9$.
Ответ: $(-\frac{5}{7}; 9]$.
з)
Решим систему неравенств:
$\begin{cases} \frac{6-x}{4}-\frac{x-1}{3} > \frac{x-4}{4}, \\ \frac{4x-4}{5}-\frac{2x-3}{3} < \frac{15x+7}{15}; \end{cases}$
1. Решаем первое неравенство:
$\frac{6-x}{4}-\frac{x-1}{3} > \frac{x-4}{4}$
Умножим на 12:
$3(6-x)-4(x-1) > 3(x-4)$
$18-3x-4x+4 > 3x-12$
$22-7x > 3x-12$
$34 > 10x$
$x < 3,4$
2. Решаем второе неравенство:
$\frac{4x-4}{5}-\frac{2x-3}{3} < \frac{15x+7}{15}$
Умножим на 15:
$3(4x-4)-5(2x-3) < 15x+7$
$12x-12-10x+15 < 15x+7$
$2x+3 < 15x+7$
$-4 < 13x$
$x > -\frac{4}{13}$
3. Находим пересечение решений: $x < 3,4$ и $x > -\frac{4}{13}$.
Получаем интервал $-\frac{4}{13} < x < 3,4$.
Ответ: $(-\frac{4}{13}; 3,4)$.
Другие задания:
Помогло решение? Оставьте отзыв в комментариях ниже.
Присоединяйтесь к Телеграм-группе @gdz_by_belarus
ПрисоединитьсяМы подготовили для вас ответ c подробным объяснением домашего задания по алгебре за 7-9 класс, для упражнения номер 24.14 расположенного на странице 115 к сборнику задач 2020 года издания для учащихся школ и гимназий.
Теперь на нашем сайте ГДЗ.ТОП вы всегда легко и бесплатно найдёте условие с правильным ответом на вопрос «Как решить ДЗ» и «Как сделать» задание по алгебре к упражнению №24.14 (с. 115), авторов: Арефьева (Ирина Глебовна), Пирютко (Ольга Николаевна), учебного пособия издательства Народная асвета.