Номер 13.26, страница 59 - гдз по алгебре 7-9 класс сборник задач Арефьева, Пирютко

Алгебра, 7-9 класс Сборник задач, авторы: Арефьева Ирина Глебовна, Пирютко Ольга Николаевна, издательство Народная асвета, Минск, 2020

Авторы: Арефьева И. Г., Пирютко О. Н.

Тип: Сборник задач

Издательство: Народная асвета

Год издания: 2020 - 2026

Цвет обложки: синий с графиками

Допущено Министерством образования Республики Беларусь

Популярные ГДЗ в 7 классе

7 класс. Параграф 13. Разложение многочлена на множители - номер 13.26, страница 59.

№13.26 (с. 59)
Условие. №13.26 (с. 59)
скриншот условия
Алгебра, 7-9 класс Сборник задач, авторы: Арефьева Ирина Глебовна, Пирютко Ольга Николаевна, издательство Народная асвета, Минск, 2020, страница 59, номер 13.26, Условие

13.26. Разложите многочлен на множители, используя комбинацию различных способов:

а) $3a^2 - 3$;

б) $2x^2 - 18$;

в) $27c^2 - 75$;

г) $12d^2 - 27$;

д) $8a^2b^2 - 72a^2c^2$;

е) $5m^2n^2 - 80m^2y^2$;

ж) $25c^3 - c$;

з) $a^4b - 36a^2b$;

и) $m^3n - mn^3$.

Решение. №13.26 (с. 59)
Алгебра, 7-9 класс Сборник задач, авторы: Арефьева Ирина Глебовна, Пирютко Ольга Николаевна, издательство Народная асвета, Минск, 2020, страница 59, номер 13.26, Решение
Решение 2. №13.26 (с. 59)

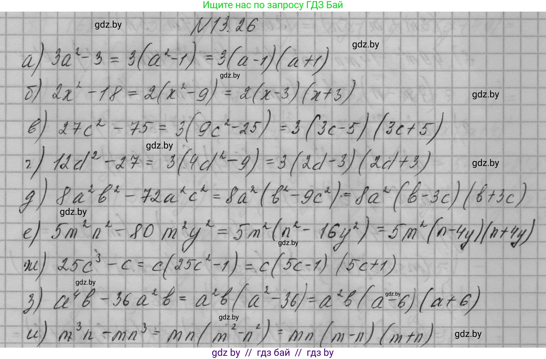
а) Чтобы разложить на множители многочлен $3a^2 - 3$, сначала вынесем общий множитель за скобки. Общим множителем является $3$.
$3a^2 - 3 = 3(a^2 - 1)$
Теперь применим к выражению в скобках формулу разности квадратов $x^2 - y^2 = (x - y)(x + y)$. В данном случае $x=a$ и $y=1$.
$3(a^2 - 1^2) = 3(a - 1)(a + 1)$
Ответ: $3(a - 1)(a + 1)$

б) В многочлене $2x^2 - 18$ вынесем за скобки общий множитель $2$.
$2x^2 - 18 = 2(x^2 - 9)$
Выражение в скобках является разностью квадратов, так как $9 = 3^2$. Применим формулу $x^2 - y^2 = (x - y)(x + y)$, где $x=x$ и $y=3$.
$2(x^2 - 3^2) = 2(x - 3)(x + 3)$
Ответ: $2(x - 3)(x + 3)$

в) Для разложения многочлена $27c^2 - 75$ найдем общий множитель для $27$ и $75$. Это число $3$. Вынесем его за скобки.
$27c^2 - 75 = 3(9c^2 - 25)$
Выражение $9c^2 - 25$ можно представить в виде разности квадратов, так как $9c^2 = (3c)^2$ и $25 = 5^2$.
$3((3c)^2 - 5^2) = 3(3c - 5)(3c + 5)$
Ответ: $3(3c - 5)(3c + 5)$

г) В выражении $12d^2 - 27$ вынесем за скобки общий множитель $3$.
$12d^2 - 27 = 3(4d^2 - 9)$
Применим формулу разности квадратов к выражению в скобках, заметив, что $4d^2 = (2d)^2$ и $9 = 3^2$.
$3((2d)^2 - 3^2) = 3(2d - 3)(2d + 3)$
Ответ: $3(2d - 3)(2d + 3)$

д) В многочлене $8a^2b^2 - 72a^2c^2$ вынесем за скобки общий множитель $8a^2$.
$8a^2b^2 - 72a^2c^2 = 8a^2(b^2 - 9c^2)$
Выражение в скобках $b^2 - 9c^2$ является разностью квадратов, так как $9c^2 = (3c)^2$.
$8a^2(b^2 - (3c)^2) = 8a^2(b - 3c)(b + 3c)$
Ответ: $8a^2(b - 3c)(b + 3c)$

е) В выражении $5m^2n^2 - 80m^2y^2$ общий множитель равен $5m^2$. Вынесем его за скобки.
$5m^2n^2 - 80m^2y^2 = 5m^2(n^2 - 16y^2)$
Выражение в скобках $n^2 - 16y^2$ является разностью квадратов, поскольку $16y^2 = (4y)^2$.
$5m^2(n^2 - (4y)^2) = 5m^2(n - 4y)(n + 4y)$
Ответ: $5m^2(n - 4y)(n + 4y)$

ж) В многочлене $25c^3 - c$ вынесем за скобки общий множитель $c$.
$25c^3 - c = c(25c^2 - 1)$
Применим к выражению в скобках формулу разности квадратов, так как $25c^2 = (5c)^2$ и $1 = 1^2$.
$c((5c)^2 - 1^2) = c(5c - 1)(5c + 1)$
Ответ: $c(5c - 1)(5c + 1)$

з) В выражении $a^4b - 36a^2b$ вынесем за скобки общий множитель $a^2b$.
$a^4b - 36a^2b = a^2b(a^2 - 36)$
Выражение в скобках $a^2 - 36$ — это разность квадратов, так как $36 = 6^2$.
$a^2b(a^2 - 6^2) = a^2b(a - 6)(a + 6)$
Ответ: $a^2b(a - 6)(a + 6)$

и) В многочлене $m^3n - mn^3$ вынесем за скобки общий множитель $mn$.
$m^3n - mn^3 = mn(m^2 - n^2)$
Выражение в скобках $m^2 - n^2$ является разностью квадратов. Применим соответствующую формулу.
$mn(m - n)(m + n)$
Ответ: $mn(m - n)(m + n)$

Помогло решение? Оставьте отзыв в комментариях ниже.

Присоединяйтесь к Телеграм-группе @gdz_by_belarus

Присоединиться

Мы подготовили для вас ответ c подробным объяснением домашего задания по алгебре за 7-9 класс, для упражнения номер 13.26 расположенного на странице 59 к сборнику задач 2020 года издания для учащихся школ и гимназий.

Теперь на нашем сайте ГДЗ.ТОП вы всегда легко и бесплатно найдёте условие с правильным ответом на вопрос «Как решить ДЗ» и «Как сделать» задание по алгебре к упражнению №13.26 (с. 59), авторов: Арефьева (Ирина Глебовна), Пирютко (Ольга Николаевна), учебного пособия издательства Народная асвета.